Thursday, May 25, 2023

APPLICATION FOR TRAINERS / STAFF FOR TRAINING

 

                                        BHARAT SCOUTS AND GUIDES, KARNATAKA

                                                    BANGALORE NORTH DISTRICT


B.K.SBESHADRI
DISTRICT SECRETAY


Wednesday, May 24, 2023

BASIC TRAINING COURSE FOR SCOUT MASTERS, GUIDE CAPTAINS, CUB MASTERS .FLOCK LEADERS AND BUNNY AUTIES-2023 , NIPUN TESTING CAMP FOR ROVERS AND RANGERS

          BASIC TRAINING COURSE FOR SCOUT MASTERS

     GUIDE CAPTAINS, CUB MASTERS .FLOCK LEADERS 

BASIC TRAINING COURSE FOR BUNNY AUNTIES

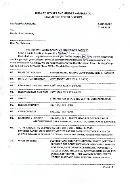
NIPUN TESTING CAMP FOR ROVERS AND RANGERS

DETAILS OF CIRCULARS

BASIC TRAINING COURSE FOR SCOUT MASTERS,
GUIDE CAPTAINS, CUB MASTERS AND FLOCK LEADERS

BASIC TRAINING  COURSE FOR BUNNY AUNTIES

NIPUN TESTING CAMP FOR ROVERS AND RANGERS






B.K.SHESHADRI
DISTRICT SERETARY